தொடர்புடைய செய்திகள்
- ரேஷன் கடைகளில் விற்கப்படும் பருப்பை அமைச்சர்கள் சாப்பிடுவார்களா?
- தமிழக அமைச்சர்கள் எடுபிடிகள்: நாஞ்சில் சம்பத் ஆவேசம்!
- முதல்வரும், அமைச்சரும் அடிமைகள்: அன்புமணி விளாசல்!
- 10 அமைச்சர்கள், 40 எம்.எல்.ஏக்கள் சசிகலாவுக்கு ஆதரவு - தங்க தமிழ்செல்வன் பேட்டி
- கோமாளித்தனமாக அமைச்சர்கள் பேசுகிறார்கள்: தினகரன் ஆவேசம்!
சேகர் ரெட்டியின் டைரியில் சிக்கிய 5 அமைச்சர்கள்
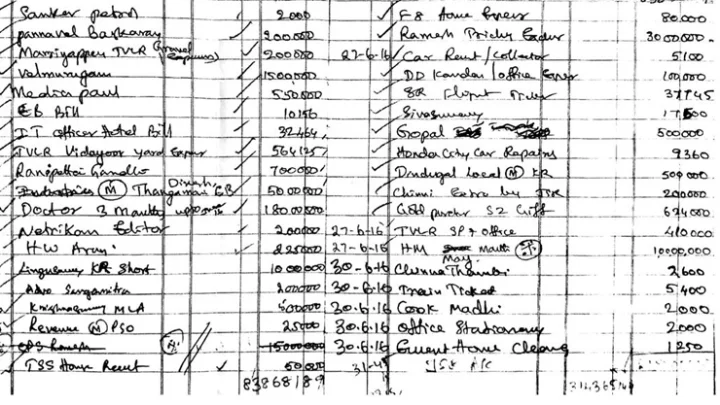
கடந்த ஆண்டு பணமதிப்பிழப்பு நடவடிக்கையை பிரதமர் மோடி எடுத்தபோது இந்தியா முழுவதும் ஒரே ஒரு ரூ.2000 நோட்டுக்காக வங்கி வாசலில் கால்கடுக்க கோடிக்கணக்கான பொதுமக்கள் காத்திருந்தனர். ஆனால் சேகர் ரெட்டி என்ற தனிப்பட்ட நபரிடம் இருந்து மட்டும் கோடிக்கணக்கில் புதிய ரூ.2000 நோட்டு கைப்பற்றப்பட்டது. இதன்பின்னர் அவர் மீது வழக்கு தொடரப்பட்டு கைது செய்யப்பட்டார்.
இந்த நிலையில் ஆங்கில தொலைக்காட்சி டைம்ஸ் நவ் இன்று காலை சேகர் ரெட்டியின் டைரியை வெளியிட்டு பரபரப்பை ஏற்படுத்தியுள்ளது. அந்த டைரியில் துணை முதல்வர் ஓ.பன்னீர்செல்வம், அமைச்சர்கள் விஜயபாஸ்கர், எம்சி சம்பத், தங்கமணி, ஆர்பி உதயகுமார் ஆகியோர்களுக்கு பணம் கொடுத்த விபரங்கள் உள்ளன. மேலும் ஒரு முன்னணி பத்திரிகை ஆசிரியர் ஒருவருக்கு ரூ.2 லட்சம் கொடுத்ததாகவும் குறிப்பிடப்பட்டுள்ளது.
இந்த நிலையில் இந்த டைரியில் குறிப்பிடப்பட்டிருக்கும் அமைச்சர்கள் உடனடியாக பதவி விலக வேண்டும் என்று திமுக செயல்தலைவர் மு.க.ஸ்டாலின் வலியுறுத்தியுள்ளார்
